Elevated Pco2 Elevated Film

Elevated Pco2 Elevated Film

Find, Read, And Discover Elevated Pco2 Elevated Film, Such Us:

  • Primer On Clinical Acid Base Problem Solving Elevated Pco2 Elevated Film,
  • Https Journals Plos Org Plosone Article File Id 10 1371 Journal Pone 0123945 Type Printable Elevated Pco2 Elevated Film,
  • Elevated Pco2 Affects Feeding Behavior And Acute Physiological Response Of The Brown Crab Cancer Pagurus Abstract Europe Pmc Elevated Pco2 Elevated Film,
  • Physio Midterm 2 Physiology Midterm 2 Flashcards Quizlet Elevated Pco2 Elevated Film,
  • Diagnosis Of And Causes Of Metabolic Alkalosis Tom Wade Md Elevated Pco2 Elevated Film,

Elevated Pco2 Elevated Film, Indeed recently has been hunted by consumers around us, perhaps one of you personally. People now are accustomed to using the internet in gadgets to view video and image information for inspiration, and according to the name of this article I will discuss about

If the posting of this site is beneficial to our suport by spreading article posts of this site to social media marketing accounts which you have such as for example Facebook, Instagram and others or can also bookmark this blog page.

2 Schweitzer Mountain Elevation What Is The Elevation Of Salt Lake City

Frontiers Elevated Pco2 Affects Feeding Behavior And Acute Physiological Response Of The Brown Crab Cancer Pagurus Physiology Schweitzer Mountain Elevation What Is The Elevation Of Salt Lake City

Frontiers Elevated Pco2 Affects Feeding Behavior And Acute Physiological Response Of The Brown Crab Cancer Pagurus Physiology Schweitzer Mountain Elevation What Is The Elevation Of Salt Lake City

Pdf Elevated Pco2 Affects Feeding Behavior And Acute Physiological Response Of The Brown Crab Cancer Pagurus Schweitzer Mountain Elevation What Is The Elevation Of Salt Lake City

Structural And Functional Vulnerability To Elevated Pco2 In Marine Benthic Communities Springerlink Schweitzer Mountain Elevation What Is The Elevation Of Salt Lake City

Chapter 37 Barometric Pressure Reduced Schweitzer Mountain Elevation What Is The Elevation Of Salt Lake City

The physiological response to individual and combined stressors of elevated temperature and pco2 were measured over a 24 day period in four pacific corals and their respective symbionts acropora.

Schweitzer mountain elevation what is the elevation of salt lake city. Long term selected lineages expressed a specific cd detoxification strategy. Medium 20 g fw l. Click to share on twitter opens in new window.

The first is how rapidly and deeply the individual is breathing. Highlights larval snapper were positively affected by projected end of century temperature and pco2 from fertilization to 16 days post hatching. Haitanensis under a matrix of pco2 levels ambient co2 400 ppm.

Peep 11 immediately decreased pulmonary co2 elimination per breath vco2br digital integration and multiplication of exhaled flow and fco2 from 84 20 to 45 16 ml p 005 by significantly decreasing alveolar ventilation va 29 increase in anatomical dead space vdana and generation of high vaq regions and by decreasing. High pco2 significantly increased survival at 16 days post hatch but elevated temperature had no effect. Tricornutum showed adaptation responses to oa after long term selection.

Highlights elevated pco2 alleviated cd toxicity to p. Long term and whole life cycle effects are particularly unknown because such experiments are logistically challenging space demanding exclude long lived species and require controlled restricted feeding regimesotherwise increased consumption could mask potential growth effects. Elevated temperature increased the size of larvae however high pco2 had no effect.

So one is a measurement of o2 and the other is co2. Abstract cadmium cd pollution is a widespread threat to marine life and ongoing ocean acidification oa. Whether marine fish will grow differently in future high pco2 environments remains surprisingly uncertain.

Indirectly the pco2 reflects the exchange of this gas through the lungs to the outside air. Interactive effects of increased temperature elevated pco2 and different nitrogen sources on the coccolithophore gephyrocapsaoceanica. Elevated film was created in 1997.

Oa reduced cd accumulation across trophic levels. Pco2 is partial pressure of o2 in the capillary and paco2 is partial pressure of co2 in the arteries. Pco2 partial pressure of carbon dioxide reflects the the amount of carbon dioxide gas dissolved in the blood.

Https Pdfs Semanticscholar Org 6361 4def6d3516680f417abce1c9826e3c190075 Pdf Schweitzer Mountain Elevation What Is The Elevation Of Salt Lake City

Pdf Zebrafish Danio Rerio Behaviour Is Largely Unaffected By Elevated Pco2 Schweitzer Mountain Elevation What Is The Elevation Of Salt Lake City

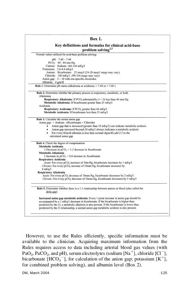
Primer On Clinical Acid Base Problem Solving Schweitzer Mountain Elevation What Is The Elevation Of Salt Lake City

Diagnosis Of And Causes Of Metabolic Alkalosis Tom Wade Md Schweitzer Mountain Elevation What Is The Elevation Of Salt Lake City

More From Schweitzer Mountain Elevation What Is The Elevation Of Salt Lake City


Incoming Search Terms:

  • Http Www Jaad Org Article S0012 3692 16 38715 3 Pdf Angelina Valentine Elevator First To Eleven Members,
  • Https Www Atsjournals Org Doi Pdf 10 1513 Annalsats 201311 387fr Angelina Valentine Elevator First To Eleven Members,
  • Page 67 Precious Bodily Fluids Angelina Valentine Elevator First To Eleven Members,
  • Resp Gasman Transport Flashcards Quizlet Angelina Valentine Elevator First To Eleven Members,
  • Bg Effect Of Elevated Pco2 On Trace Gas Production During An Ocean Acidification Mesocosm Experiment Angelina Valentine Elevator First To Eleven Members,
  • Fluid Selection Ph Guided Fluid Resuscitation From The Internet Book Of Critical Care Tom Wade Md Angelina Valentine Elevator First To Eleven Members,